解决方案
SOIUTION推荐产品
RECOMMOND联系我们
Contact联系人:张经理
手 机:18600516852
电 话:400 0000 439
地 址:北京市昌平区沙河镇昌平路97号7幢605室


2020年最大的灾难莫过于新冠疫情,病毒已经在全世界引起了重大灾难,严重影响全球经济发展和人民安全。作为今年最大的一场疾病,全世界都在全力以赴制造相关治疗和预防产品。
那小伙伴们见到哪些治疗和预防手段呢?
现在的治疗手段除了药物,预防更需要疫苗来进行,截至2020年12月24日,全球已有52种新冠肺炎候选疫苗进入临床试验阶段,其中13种已进入三期临床试验阶段,包括5种国产疫苗。
那小伙伴们见到哪些治疗和预防手段呢?
第一个上市批准的是德国BioNTech和美国辉瑞共同合作研发的新冠候选疫苗BNT162b2,为mRNA疫苗,当然国内也有mRNA疫苗和灭活疫苗等。
mRNA疫苗是什么呀?以前没接种过,它是怎么设计出来的?
mRNA疫苗原理是获取病毒基因序列后,编码可以表达病毒抗原蛋白的基因mRNA(信使核糖核酸),并将其注入人体内,体内细胞会根据这份“信息”,自己合成病毒的抗原蛋白,模拟病毒传染,从而诱导人体自身表达对应抗体。原理如下图所示:

mRNA疫苗有哪些关键技术是研发重点呢?
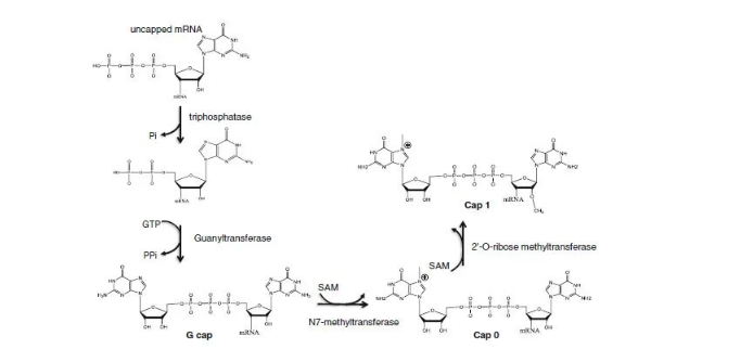
有很多地方可以讨论,mRNA疫苗重点在于(1)mRNA的体外合成和优化,比如说,5’帽子优化,UTR优化,ORF优化,Poly(A)尾优化 (2)递送系统的控制,mRNA进入宿主细胞质有一些挑战,所以需要高效的递送系统技术,例如特殊脂质体技术。对于mRNA的加帽技术原理如下图所示:

疫苗里除了mRNA还有别的成分吧?递送系统是?
mRNA递送系统一般是脂质体加聚合物材料,比如所美国上市疫苗里有脂质体和聚乙二醇(PEG)成分,关于质量控制方法,此次指导原则提出建议开展对不同批号的聚合物材料或脂质组分对mRNA的复合或包封效果、纳米颗粒结构完整和粒径均一性的研究,以确保mRNA纳米颗粒制剂的均一性和质量可控性,并建议根据研究结果拟定阳离子聚合物或特殊脂质材料可以接受的质量标准。建议申请人明确关键原材料/辅料中的杂质残余及可能影响制剂质量属性的关键要素,拟定的质量标准应含有可充分表征产品相关杂质的纯度检测,如,质谱、核磁、HPLC等方法。
我们的 GC 解决方案包括使您能够成功进行气相色谱分析的气相色谱分析仪、进样器、检测器,色谱柱、自动进样器以及软件。
Copyright © 北京京科瑞达科技有限公司 版权所有 工信部ICP备案号:京ICP备09012202号-5